Benchmarks/DAG-MATH
DAG-MATH

A benchmark for evaluating logical coherence and step-by-step reasoning quality of large language models on mathematical problems using directed acyclic graph structures.

Text
10 votes
77 views
19 Oct 2025

This benchmark measures the empirical mathematical reasoning ability (b_R), also known as the Perfect Reasoning Rate (PRR), on the AIME 2025 dataset. It evaluates the percentage of generated solutions that are both logically closed (i.e., every intermediate step is used to derive a subsequent step) and reach the correct final answer. A higher b_R indicates more rigorous and logically coherent reasoning.

Overview

DAG-MATH is a benchmark and framework for evaluating mathematical reasoning in large language models by analyzing the logical structure of their Chain-of-Thought (CoT) processes. Rather than only checking final answer correctness, it models CoT reasoning as a stochastic process over directed acyclic graphs (DAGs), where nodes represent intermediate assertions and edges represent logical inferences. The benchmark provides 2,894 gold-standard DAGs constructed from Omni-MATH problems and introduces metrics to assess both logical coherence and final answer accuracy.

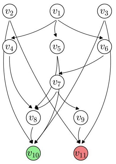
DAG structure example Example DAG structure showing nodes representing reasoning steps and edges representing logical dependencies. Green node indicates correct answer, red indicates incorrect.

Key Specifications

The benchmark consists of several components:

Gold-Standard Dataset: 2,894 DAG-MATH formatted problems from Omni-MATH (difficulty levels < 6), constructed using a three-stage prompting process with GPT-o4-mini and Qwen3-235B-A22B-Thinking-2507.

Evaluation Datasets: High-difficulty problems from AIME 2025, BRUMO 2025, and HMMT 2025.

DAG-MATH Format: Structured CoT format where each step contains:

  • step_id: Unique integer identifier
  • edge: Logical progression explanation referencing parent steps
  • direct_dependent_steps: Array of parent step IDs or null
  • node: Single atomic conclusion sentence

Key Metrics:

  • Perfect Reasoning Rate (PRR): PRR(Xin):=EP[δclose(Ggen(Xin))×δfinal(Ggen(Xin))]\text{PRR}(X_{in}) := \mathbb{E}_P[\delta_{close}(G_{gen}(X_{in})) \times \delta_{final}(G_{gen}(X_{in}))]
  • Logical Closeness: DAG is logically closed if every non-sink node has at least one outgoing edge
  • AUC Scores: Performance across different logical closeness thresholds (0% to 100%)

Data Examples

Example 1: Logarithmic Count Problem

Problem: "For how many integers k ∈ [−300, 300] does the equation 2 log(x − 1) = log k have exactly one real solution x?"

Step Format:
{
  "step_id": 4,
  "edge": "Since the left-hand side of the equation in Step 1 contains log(x−1), the domain restriction for a logarithm requires x − 1 > 0, i.e., x > 1.",
  "direct_dependent_steps": [1],
  "node": "log(x − 1) requires x > 1."
}

Answer: 300

Example 2: Perfect vs. Imperfect Reasoning Trajectories

  • Perfect reasoning: nodes (v1, v2, v3, v4, v5, v6, v7, v8, v10) - logically closed path to correct answer
  • Imperfect reasoning: nodes (v1, v2, v3, v4, v5, v6, v7, v9, v8, v10) - includes irrelevant step v9, correct answer but not logically closed

Significance

DAG-MATH addresses a critical limitation in evaluating LLM reasoning by moving beyond final-answer accuracy to assess logical coherence. Key findings reveal significant gaps between PASS@1 (final answer accuracy) and Perfect Reasoning Rate across all tested models:

  • PASS@1 vs PRR gaps: Range from 5.3% to 42.7% across datasets and models
  • Graph structure insights: Perfect reasoning corresponds to smaller, denser DAGs while incorrect reasoning produces larger, sparser graphs with higher branching
  • Model comparison: While PASS@1 varies widely (11.8% to 63.4%), PRR remains relatively stable (5.6% to 24.6%), suggesting comparable core reasoning abilities

The framework provides actionable diagnostics for identifying whether models struggle with logical consistency, exploratory search management, or complex problem decomposition. Graph-level statistics reveal that reasoning failures often stem from uncontrolled branching rather than insufficient input aggregation.

Usage

The benchmark and code are available at: https://github.com/YuanheZ/DAG-MATH-Formatted-CoT

Evaluation involves generating 32 DAG-MATH formatted CoT trajectories per problem using 4-shot prompting, then computing PRR and graph-level statistics. The framework can inform algorithm design for improving LLM reasoning performance and potentially establish mathematical foundations for defining reasoning capabilities in language models.